Octant Monitor
Home
Previous Epochs
Epoch 8
Epoch 5
Epoch 6
Epoch 7
Epoch 9
NEW
Data
Cross-Epoch
Table of Contents
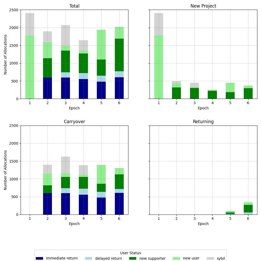
Cross-Epoch Analysis
Comparative analysis of metrics across non-thematic epochs 1-6
Status History
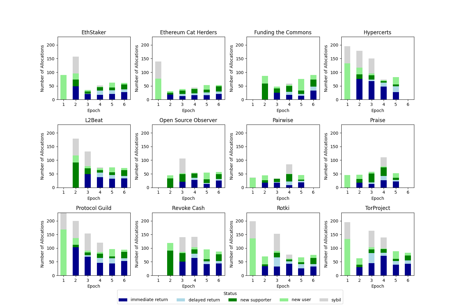
Projects and Their Supporters
.
Users Across Epochs
.
New Projects
.